BlueMonday o lunes azul. Así es como se conoce al tercer lunes de enero debido a una extendida –y también desacreditada– creencia que afirma que se trata del día más triste del año.
El origen de este mito está relacionado con una fórmula pseudomatemática creada por el psicólogo británico Cliff Arnal en 2005, quien se desempeñaba como profesor de la Universidad de Cardiff.
Como parte de una campaña de marketing de una agencia de viajes, Arnal quiso averiguar cuándo había una mayor predisposición de los consumidores para hacer reservas para las vacaciones de verano.
En ese marco, elaboró una fórmula que situaba el tercer lunes de enero como el día más triste del año, a partir de factores “particularmente deprimentes” que se conjugaban esta jornada, entre los que se encuentran:
- Clima (invierno en el hemisferio norte) .
- Salario mensual.
- Tiempo transcurrido desde Navidad.
- Propósitos fallidos de Año Nuevo.
- Una menor motivación.
- Necesidad de actuar frente estos elementos.
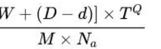
La fórmula se expresaba de la siguiente manera:
¿Pero por qué el nombre de BlueMonday? En la cultura anglosajona, además de ser un color, blue se utiliza para referirse a la tristeza (de ahí que se haya usado para nombrar la fórmula).
Fórmula desacreditada

La fórmula de Arnall, sin embargo, no tenía ningún sustento científico, pero debido a su creciente popularidad diversos investigadores se vieron obligados a desestimarla.
El propio Arnall ha asegurado que más bien se trata de una “profecía autocumplida” y que la fórmula más bien está relacionada con una campaña publicitaria para la desaparecida agencia de viajes Sky Travel.
El psicólogo además se declaró activista del movimiento #StopBlueMonday iniciado en 2016, que busca precisamente desterrar este mito.
