El Instituto Tecnológico de Massachusetts (MIT) ha desarrollado una tecnología que promete mejorar la cobertura de los celulares y podría ser la solución a los problemas de señal de datos móviles que muchos usuarios experimentan a diario. La clave de este descubrimiento es un receptor inalámbrico capaz de bloquear interferencias, lo que asegura un rendimiento óptimo de los dispositivos móviles incluso en entornos con muchas ondas electromagnéticas.
El problema de la interferencia

Hoy en día, nuestros celulares están en línea todo el tiempo gracias a los datos móviles. Los dispositivos que usamos, como audífonos, parlantes y relojes inteligentes, se enlazan a través de Bluetooth, y en nuestras casas y oficinas, varios aparatos electrónicos se conectan mediante WiFi. Todo esto crea un verdadero caos de señales en el aire, provocando que las ondas electromagnéticas estén cada vez más congestionadas.
Esta congestión provoca interferencias que pueden afectar el rendimiento de los dispositivos móviles, resultando en llamadas interrumpidas, conexiones lentas y transmisiones de video entrecortadas. Para resolver este problema, los investigadores del MIT han desarrollado una nueva arquitectura de receptor inalámbrico llamada MIMO (entrada múltiple y salida múltiple) de ondas milimétricas.
La solución: los sistemas MIMO y un dispositivo innovador
Los sistemas MIMO utilizan varias antenas para enviar y recibir señales desde diferentes direcciones al mismo tiempo. Esto les permite manejar grandes cantidades de datos de manera más eficiente, mejorando la velocidad y calidad de la conexión.
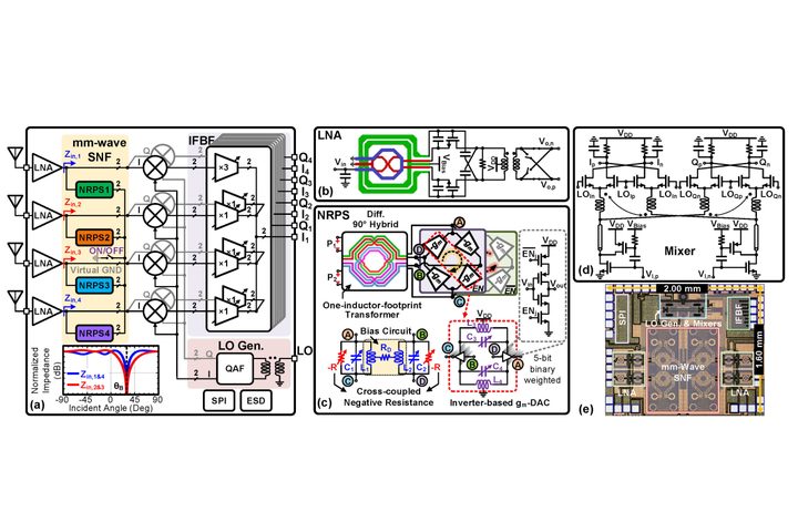
La gran innovación del MIT en este campo es un componente especial llamado cambiador de fase no recíproco. Este dispositivo es capaz de identificar y cancelar señales no deseadas antes de que afecten el rendimiento del sistema. En otras palabras, puede eliminar las interferencias desde el principio del proceso de recepción.

El cambiador de fase no recíproco creado por el MIT tiene varias ventajas: es ajustable, consume poca energía y es compacto. Gracias a esto, puede adaptarse para bloquear interferencias mucho más efectivamente que los dispositivos actuales. Según los investigadores, su receptor puede eliminar hasta cuatro veces más interferencias que otros modelos similares. Además, este componente puede encenderse y apagarse según sea necesario para ahorrar energía.
Negar Reiskarimian, profesora del Departamento de Ingeniería Eléctrica y Ciencias de la Computación del MIT, explica que en las frecuencias utilizadas por los nuevos sistemas 5G y 6G ya hay un uso intensivo. Por lo tanto, cualquier nueva tecnología que se implemente debería incorporar sistemas para mitigar las interferencias. En su estudio, Reiskarimian y su equipo demostraron que emplear un cambiador de fase no recíproco en su nueva arquitectura proporciona un mejor rendimiento, incluso cuando se usa la misma plataforma integrada que otros.
Cómo funciona el bloqueo de interferencias
Los sistemas MIMO digitales tienen dos partes principales: una parte analógica y una digital. La parte analógica usa antenas para captar las señales. Estas señales se amplifican, se convierten a frecuencias más bajas y luego se transforman en datos digitales para ser procesados por el dispositivo.
El problema ocurre cuando una señal interferente muy fuerte llega al receptor desde una dirección diferente mientras se está recibiendo una señal importante. Esta interferencia puede saturar el amplificador, haciendo que la señal que realmente queremos se pierda o se degrade.
Para solucionar este problema, el equipo del MIT ha instalado cuatro cambiadores de fase no recíprocos justo después del primer amplificador en cada cadena de recepción. Estos cambiadores de fase son capaces de detectar de dónde proviene la interferencia y ajustar su fase para cancelarla. Esto significa que pueden eliminar las señales no deseadas antes de que lleguen al resto del receptor, asegurando que la señal importante se mantenga clara y sin alteraciones.

Además de ser ajustable, el diseño del cambiador de fase no recíproco del MIT ocupa menos espacio en el chip y consume menos energía que los cambiadores de fase tradicionales. Este avance no solo facilita su uso en dispositivos móviles, sino que también asegura que el receptor pueda operar de manera eficiente sin agotar rápidamente la batería del dispositivo.
El futuro de la nueva tecnología del MIT
En el futuro, los investigadores del MIT planean escalar su dispositivo a sistemas más grandes y permitir que funcione en las nuevas frecuencias utilizadas por los dispositivos inalámbricos 6G. Estas frecuencias son especialmente propensas a interferencias potentes de satélites, lo que hace que la tecnología desarrollada por el MIT sea aún más importante. Además, están explorando la posibilidad de usar los cambiadores de fase no recíprocos en otras aplicaciones, ampliando así el impacto de esta innovadora tecnología.
El desarrollo del receptor MIMO de ondas milimétricas del MIT representa un gran avance en la tecnología de comunicación inalámbrica. Al bloquear de manera efectiva las interferencias y mejorar la calidad de la señal, este dispositivo promete transformar la experiencia las personas con sus dispositivos móviles, asegurando que la pérdida de cobertura y las conexiones deficientes sean cosa del pasado.